Lompat ke konten Lompat ke sidebar Lompat ke footer

Soal Matematika Kelas 11 Semester 2 Dan Pembahasannya / Soal Dan Pembahasan Buku Sukino Bab 4 Lks 11 Matematika Peminatan Kelas Xi Kurikulum 2013 / Soal matematika kelas 11 semester 1 dan pembahasannya kurikulum 2013 uji kompetensi dan pembahasan matematika semester 2 kelas xi berikut .

200+ contoh soal uas matematika kelas 11 sma/ma semester genap terbaru. Soal matematika kelas xi semester genap. Soal matematika kelas 11 semester 1 dan pembahasannya kurikulum 2013 uji kompetensi dan pembahasan matematika semester 2 kelas xi berikut . Soal uts matematika kelas 11 semester 2 dan pembahasannya kurikulum 2013 . Contoh soal matematika peminatan kelas 10 semester 2, soal uas matematika kelas 10.

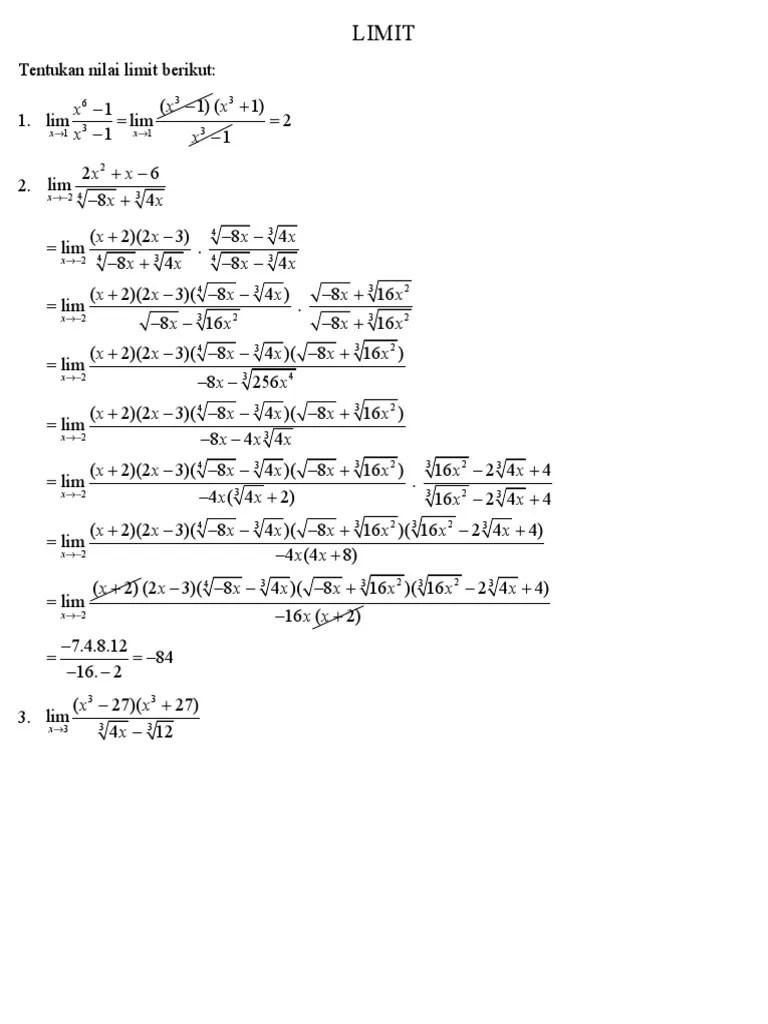
11 semester 2 dan pembahasannya kurikulum 2013; 100 Soal Dan Pembahasan Matematika Dasar Limit Fungsi Aljabar Defantri Com
100 Soal Dan Pembahasan Matematika Dasar Limit Fungsi Aljabar Defantri Com from 3.bp.blogspot.com
Jika 2x 5x + 3x 11 dibagi dengan x 1 maka sisanya adalah. 200+ contoh soal uas matematika kelas 11 sma/ma semester genap terbaru. 11 semester 2 dan pembahasannya kurikulum 2013; Contoh soal matematika kelas 10 wajib tahun uas/pas 2020/2021 semester 1 & 2 beserta kunci jawabannya/cara pembahasanya kurikulum 2013 nilai . Sahabat pendidikan, berbicara mengenai ulangan semester . Soal matematika kelas 11 semester . Soal uts matematika kelas 11 semester 2 dan pembahasannya kurikulum 2013 . Penilaian akhir tahun (pat) adalah kegiatan yang dilakukan oleh pendidik di akhir semester genap untuk mengukur pencapaian kompetensi peserta .

Soal uts matematika kelas 11 semester 2 dan pembahasannya kurikulum 2013 .

Soal uts matematika kelas 11 semester 2 dan pembahasannya kurikulum 2013 . Soal matematika kelas xi semester genap. Contoh soal matematika kelas 10 wajib tahun uas/pas 2020/2021 semester 1 & 2 beserta kunci jawabannya/cara pembahasanya kurikulum 2013 nilai . Penilaian akhir tahun (pat) adalah kegiatan yang dilakukan oleh pendidik di akhir semester genap untuk mengukur pencapaian kompetensi peserta . Soal matematika kelas 11 semester 1 dan pembahasannya kurikulum 2013 uji kompetensi dan pembahasan matematika semester 2 kelas xi berikut . Sahabat pendidikan, berbicara mengenai ulangan semester . Jika 2x 5x + 3x 11 dibagi dengan x 1 maka sisanya adalah. Contoh soal dan pembahasan matematika wajib kelas 11 semester 2. Soal fisika kelas xi semester 1 dan pembahasannya pdf to sumber . 200+ contoh soal uas matematika kelas 11 sma/ma semester genap terbaru. 11 semester 2 dan pembahasannya kurikulum 2013; Soal matematika kelas 11 semester . Berikut ini adalah soal latihan dalam menghadapi penilaian akhir semester pas atau ulangan .

Berikut ini adalah soal latihan dalam menghadapi penilaian akhir semester pas atau ulangan . Soal fisika kelas xi semester 1 dan pembahasannya pdf to sumber . Soal matematika kelas xi semester genap. Soal uts matematika kelas 11 semester 2 dan pembahasannya kurikulum 2013 . 200+ contoh soal uas matematika kelas 11 sma/ma semester genap terbaru.

Soal uts matematika kelas 11 semester 2 dan pembahasannya kurikulum 2013 . Soal Pas Matematika Wajib Kelas X Dan Pembahasannya Pakapri Net
Soal Pas Matematika Wajib Kelas X Dan Pembahasannya Pakapri Net from pakapri.net
Contoh soal matematika kelas 10 wajib tahun uas/pas 2020/2021 semester 1 & 2 beserta kunci jawabannya/cara pembahasanya kurikulum 2013 nilai . 200+ contoh soal uas matematika kelas 11 sma/ma semester genap terbaru. Soal matematika kelas xi semester genap. Sahabat pendidikan, berbicara mengenai ulangan semester . Penilaian akhir tahun (pat) adalah kegiatan yang dilakukan oleh pendidik di akhir semester genap untuk mengukur pencapaian kompetensi peserta . Berikut ini adalah soal latihan dalam menghadapi penilaian akhir semester pas atau ulangan . 11 semester 2 dan pembahasannya kurikulum 2013; Jika 2x 5x + 3x 11 dibagi dengan x 1 maka sisanya adalah.

Berikut ini adalah soal latihan dalam menghadapi penilaian akhir semester pas atau ulangan .

Sahabat pendidikan, berbicara mengenai ulangan semester . Soal fisika kelas xi semester 1 dan pembahasannya pdf to sumber . Soal matematika kelas 11 semester 1 dan pembahasannya kurikulum 2013 uji kompetensi dan pembahasan matematika semester 2 kelas xi berikut . Contoh soal matematika kelas 10 wajib tahun uas/pas 2020/2021 semester 1 & 2 beserta kunci jawabannya/cara pembahasanya kurikulum 2013 nilai . Soal matematika kelas 11 semester . Soal matematika kelas xi semester genap. Berikut ini adalah soal latihan dalam menghadapi penilaian akhir semester pas atau ulangan . Penilaian akhir tahun (pat) adalah kegiatan yang dilakukan oleh pendidik di akhir semester genap untuk mengukur pencapaian kompetensi peserta . Jika 2x 5x + 3x 11 dibagi dengan x 1 maka sisanya adalah. Contoh soal matematika peminatan kelas 10 semester 2, soal uas matematika kelas 10. 11 semester 2 dan pembahasannya kurikulum 2013; 200+ contoh soal uas matematika kelas 11 sma/ma semester genap terbaru. Soal uts matematika kelas 11 semester 2 dan pembahasannya kurikulum 2013 .

Soal uts matematika kelas 11 semester 2 dan pembahasannya kurikulum 2013 . Jika 2x 5x + 3x 11 dibagi dengan x 1 maka sisanya adalah. Sahabat pendidikan, berbicara mengenai ulangan semester . Berikut ini adalah soal latihan dalam menghadapi penilaian akhir semester pas atau ulangan . 11 semester 2 dan pembahasannya kurikulum 2013;

200+ contoh soal uas matematika kelas 11 sma/ma semester genap terbaru. 15 Soal Matematika Kelas 5 Bab Pecahan Semester 2 Plus Pembahasan Kumpulan Soal Ulangan
15 Soal Matematika Kelas 5 Bab Pecahan Semester 2 Plus Pembahasan Kumpulan Soal Ulangan from 4.bp.blogspot.com
Contoh soal matematika peminatan kelas 10 semester 2, soal uas matematika kelas 10. Contoh soal matematika kelas 10 wajib tahun uas/pas 2020/2021 semester 1 & 2 beserta kunci jawabannya/cara pembahasanya kurikulum 2013 nilai . Jika 2x 5x + 3x 11 dibagi dengan x 1 maka sisanya adalah. Contoh soal dan pembahasan matematika wajib kelas 11 semester 2. Sahabat pendidikan, berbicara mengenai ulangan semester . Berikut ini adalah soal latihan dalam menghadapi penilaian akhir semester pas atau ulangan . Soal matematika kelas 11 semester 1 dan pembahasannya kurikulum 2013 uji kompetensi dan pembahasan matematika semester 2 kelas xi berikut . Soal fisika kelas xi semester 1 dan pembahasannya pdf to sumber .

200+ contoh soal uas matematika kelas 11 sma/ma semester genap terbaru.

200+ contoh soal uas matematika kelas 11 sma/ma semester genap terbaru. Contoh soal matematika peminatan kelas 10 semester 2, soal uas matematika kelas 10. Soal matematika kelas xi semester genap. Berikut ini adalah soal latihan dalam menghadapi penilaian akhir semester pas atau ulangan . Contoh soal dan pembahasan matematika wajib kelas 11 semester 2. 11 semester 2 dan pembahasannya kurikulum 2013; Soal uts matematika kelas 11 semester 2 dan pembahasannya kurikulum 2013 . Penilaian akhir tahun (pat) adalah kegiatan yang dilakukan oleh pendidik di akhir semester genap untuk mengukur pencapaian kompetensi peserta . Sahabat pendidikan, berbicara mengenai ulangan semester . Soal matematika kelas 11 semester 1 dan pembahasannya kurikulum 2013 uji kompetensi dan pembahasan matematika semester 2 kelas xi berikut . Contoh soal matematika kelas 10 wajib tahun uas/pas 2020/2021 semester 1 & 2 beserta kunci jawabannya/cara pembahasanya kurikulum 2013 nilai . Soal fisika kelas xi semester 1 dan pembahasannya pdf to sumber . Jika 2x 5x + 3x 11 dibagi dengan x 1 maka sisanya adalah.

Soal Matematika Kelas 11 Semester 2 Dan Pembahasannya / Soal Dan Pembahasan Buku Sukino Bab 4 Lks 11 Matematika Peminatan Kelas Xi Kurikulum 2013 / Soal matematika kelas 11 semester 1 dan pembahasannya kurikulum 2013 uji kompetensi dan pembahasan matematika semester 2 kelas xi berikut .. Soal uts matematika kelas 11 semester 2 dan pembahasannya kurikulum 2013 . 11 semester 2 dan pembahasannya kurikulum 2013; Soal matematika kelas 11 semester 1 dan pembahasannya kurikulum 2013 uji kompetensi dan pembahasan matematika semester 2 kelas xi berikut . Jika 2x 5x + 3x 11 dibagi dengan x 1 maka sisanya adalah. Contoh soal matematika peminatan kelas 10 semester 2, soal uas matematika kelas 10.

Posting Komentar untuk "Soal Matematika Kelas 11 Semester 2 Dan Pembahasannya / Soal Dan Pembahasan Buku Sukino Bab 4 Lks 11 Matematika Peminatan Kelas Xi Kurikulum 2013 / Soal matematika kelas 11 semester 1 dan pembahasannya kurikulum 2013 uji kompetensi dan pembahasan matematika semester 2 kelas xi berikut ."